Open vs Proprietary
Companies developing proprietary AI models are finding themselves in a constant sprint to keep pace with the rapid advancements in open-source alternatives.
August 2024 - Open-source and proprietary AI models
Landscape
In the rapidly evolving landscape of artificial intelligence, a fascinating trend has emerged. As illustrated in the graphs, companies developing proprietary AI models are finding themselves in a constant sprint to keep pace with the rapid advancements in open-source alternatives. This competitive pressure is driving an unprecedented acceleration in AI innovation across the board.

Github stars generally reflect the reach and popularity of a project to its audience. The open-source projects Whisper, ComfyUI, OpenWeb-UI, Ollama (TOP 80 github stars), Langchain (TOP 80 github stars) grew at a pace unmatch by any closed source projects.
The number of Github stars for closed-source projects appears to be stabilizing after a while as the interest of the community.
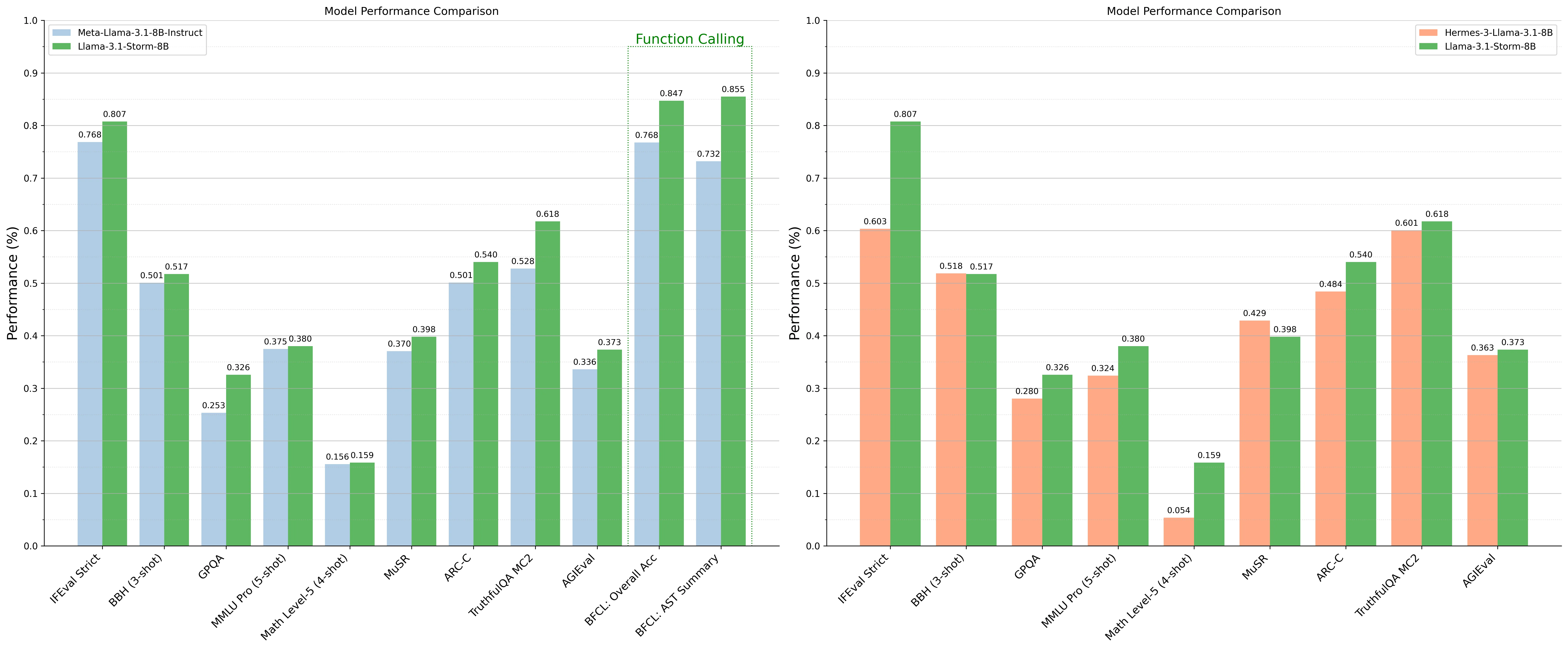
Good shot, Meta ! (y)
Meta, the tech giant is behind the remarkable Llama series of language models.

As seen above, the community came up with a newer version of llama3.1 with an edge… after.. 1 month.

Highlights of the benefits of open-source LLMs for enterprises, focusing on cost-effectiveness, data ownership, avoiding vendor lock-in, security, and customization.
Art creation reimagined, tools for artist

AI artist are making about anything by hand and very advanced technics that surpass by a giant leap any proprietary solutions
![]()
*risunobushi openart.ai with ComfyUI Here, an AI workflow that enable to cast light on a scene
In the following, a project call LaVague that enable to control a web browser automatically with an AI backend

